| | |
 | Gut zu wissen: Hilfreiche Tipps und Tricks aus der Praxis prägnant, und auf den Punkt gebracht für Ansys |
| | |
 | Lüfterberechnung? Fan-tastisch! Ab in die Fan-Kurve. , ein Fachartikel
|
|
Autor
|
Thema: Magnetische Kraftberechnung mit Ansys-Workbench (4027 mal gelesen)
|
kwf14 Mitglied

 Beiträge: 10 Registriert: 27.03.2009
|
erstellt am: 27. Mrz. 2009 10:58 <-- editieren / zitieren --> Unities abgeben:         
Hallo Leute, ich bin neu hier und brauche gleich eure Hilfe. Ich muss in Rahmen meiner Diplomarbeit einen Magnetlager simulieren. Ziel meiner Arbeit ist die magnetische Kraft in Abhängigkeit vom Strom und von der Lage des Rotors zu bestimmen. Der Magnetlager hat 8 Pole und auf jedem Pol sitzen zwei Spulen mit à 60 Windungen. Jede Spule wird max. mit 6A bestromt. Der Stator und der äußere Rotor-Ring sind aus Elektorblech und der Rotor-Kern aus nicht feromag. Edelstahl. Der Magnetlager ist in vier Quadranten aufgeteilt. Um in jedem Quadrant einen geschlossenen magnetischen Kreis zu haben, werden die Spulen in unterschiedliche Richtungen bestromt. (siehe Anhang). So liegt in jedem Quadrant eine geschlossener mag. Kreis vor. Hier werden nur die Spulen im I. Quadrant mit à 6A bestromt. Aus der analytischen Berechnung würde eine Kraft in Z-Richtung von 2284,5N ermittelt. Die Kraft-Komponente in Z-Richtung aus der Simulation beträgt jedoch 554N. Um den Fehler bei der Simulation zu finden, habe ich das Modell mit einer Spule pro Pol statt mit zwei Spulen modelliert. Die Spulen haben hier doppelt so viele Windungen (statt 60 , jetzt 120) und diese werden mit 12A statt mit 6A bestromt. Hier erhält man die erwartete Kraft von ca. 2285N je nach Einstellung. Meiner Meinung nach dürfte es bei der Kraft-Berechnung keinen Unterschied machen ob ich eine Spule pro Pol nehme mit à 120 Windungen und 12A oder zwei Spulen mit à 60 Windungen und 6A pro Spule. Ich möchte Sie gerne fragen, ob Sie mir bei meinem Problem helfen könnten. [IMG][/IMG]
Eine Antwort auf diesen Beitrag verfassen (mit Zitat/Zitat des Beitrags) IP |
Achim007 Mitglied Dipl. Ing. (FH)
  
 Beiträge: 734 Registriert: 23.09.2008 Workbench 2.0 ANSYS15.0 Mechanical DesignModeler
|
erstellt am: 27. Mrz. 2009 12:19 <-- editieren / zitieren --> Unities abgeben:          Nur für kwf14
Für die Feldstärke ist die Amperewindungszahl entscheidend zuerst hat Du 2 x (60 Windungen und 6A) = 720 AWdg dann hast Du 120 Windungen und 12 A= 1440 AWdg alo Faktor 2 größer deshalb ist sollte auch die Kraft ungefähr um den Faktor 2 größer sein Warum es beii Dir der Faktor 4 ist weiß ich auch nicht. Sind beim erstem Mal beide Spulen aktiv? ------------------ Viele Grüße Achim [Diese Nachricht wurde von Achim007 am 27. Mrz. 2009 editiert.] Eine Antwort auf diesen Beitrag verfassen (mit Zitat/Zitat des Beitrags) IP |
kwf14 Mitglied

 Beiträge: 10 Registriert: 27.03.2009
|
erstellt am: 27. Mrz. 2009 12:30 <-- editieren / zitieren --> Unities abgeben:         
Danke für den schnellen Tipp das hab ich auch vermutet. Erzeugen zwei Spulen mit à 60 Windungen und 6A nicht die gleiche Feldstärke wie eine Spule mit 120 Windungen, welche mit 12A bestromt wird? Schöne Grüße
Kaveh Eine Antwort auf diesen Beitrag verfassen (mit Zitat/Zitat des Beitrags) IP |
Achim007 Mitglied Dipl. Ing. (FH)
  
 Beiträge: 734 Registriert: 23.09.2008 Workbench 2.0 ANSYS15.0 Mechanical DesignModeler
|
erstellt am: 27. Mrz. 2009 12:43 <-- editieren / zitieren --> Unities abgeben:          Nur für kwf14
Ich habe meine Antwort nochmal modifiziert haben siech unsere Beiträge überschnitten? Die Spulen sind eng nebeneinander modelliert. Überschneiden sich die angegebenen Querschnitte und damit die berechneten Stromdichten? ------------------  Viele Grüße Achim Eine Antwort auf diesen Beitrag verfassen (mit Zitat/Zitat des Beitrags) IP |
simulmi Mitglied Berechnungsingenieur
 
 Beiträge: 295 Registriert: 27.08.2008 ANSYS Workbench 13 ANSYS Classic 13 MAXWELL 2D/3D V14 Pro/E Wildfire<P>Windows XP 64 bit
|
erstellt am: 27. Mrz. 2009 12:51 <-- editieren / zitieren --> Unities abgeben:          Nur für kwf14
Hallo, die Kraft berechnet sich nach folgender Formel: F = B x L x I wenn du also den Strom und die Windungszahl verdoppelst folgt daraus die vierfache Kraft. Gruß simulmi ------------------ Matthias Ulmer Institut für Feinwerktechnik Universität Stuttgart Eine Antwort auf diesen Beitrag verfassen (mit Zitat/Zitat des Beitrags) IP |
kwf14 Mitglied

 Beiträge: 10 Registriert: 27.03.2009
|
erstellt am: 27. Mrz. 2009 13:23 <-- editieren / zitieren --> Unities abgeben:         
Danke für den Tipp Für die Kraftberechnung habe ich die Ki-Ks-Formel verwendet. Dann müssen die Spulen mit 12A bestromt werden, damit die richtige Kraft rauskommt. Sehe ich das richtig? Schöne Grüße Kaveh Eine Antwort auf diesen Beitrag verfassen (mit Zitat/Zitat des Beitrags) IP |
simulmi Mitglied Berechnungsingenieur
 
 Beiträge: 295 Registriert: 27.08.2008 ANSYS Workbench 13 ANSYS Classic 13 MAXWELL 2D/3D V14 Pro/E Wildfire<P>Windows XP 64 bit
|
erstellt am: 27. Mrz. 2009 13:34 <-- editieren / zitieren --> Unities abgeben:          Nur für kwf14
Hallo, ich komme jetzt gerade nicht ganz mit welche Spule du jetzt mit 12 A bestromen willst. Am besten du rechnest immer in Windungsampere oder ganz allgemein mit einer Stromdichte: 1) bei Windungsampere beziehst du immer den Strom pro Windung. Wenn du also zwei spulen mit je 100 Windungen hast und jeweils 1 A durch schickst hast du 2 x 100 Windungsampere. Für die Modellierung kannst du dann einfach eine Spule mit 1 Windung annehmen und gibst als Strom die Windungsampere drauf. Dann passieren auch die wenigsten Fehler. 2) Alternativ kannst du die Spule auch als massiven Körper ausführen und die Stromdichte nehmen. gruß simulmi ------------------ Matthias Ulmer Institut für Feinwerktechnik Universität Stuttgart Eine Antwort auf diesen Beitrag verfassen (mit Zitat/Zitat des Beitrags) IP |
kwf14 Mitglied

 Beiträge: 10 Registriert: 27.03.2009
|
erstellt am: 27. Mrz. 2009 13:41 <-- editieren / zitieren --> Unities abgeben:         
|
simulmi Mitglied Berechnungsingenieur
 
 Beiträge: 295 Registriert: 27.08.2008 ANSYS Workbench 13 ANSYS Classic 13 MAXWELL 2D/3D V14 Pro/E Wildfire<P>Windows XP 64 bit
|
erstellt am: 27. Mrz. 2009 13:56 <-- editieren / zitieren --> Unities abgeben:          Nur für kwf14
Du solltest dir nun zuerst Gedanken darüber machen was du simulieren musst/willst, bzw. wie deine Randbedingungen/Vorgaben auszusehen haben. Einfach nur Werte probieren bis du die "richtige" Lösung bekommst hat nichts mit wissenschaftlicher Vorgehensweise zu tun. Wenn du also real, bzw. in deiner analytischen Lösung mit zwei Spulen (je 60 Windungen und 6 A) gerechnet hast entspricht das 2 x 60 x 6 = 720 Windungsampere. Wenn du in der Simulation aber nur eine Spule modeliert hast, musst du rechnerisch immer auf die 720 Windungampere kommen. Wenn du also nur eine Windung hast gibst du als Strom 720 Ampere ein, bei 60 Windungen 12 A, bei 120 Windungen 6 A. Gruß simulmi ------------------ Matthias Ulmer Institut für Feinwerktechnik Universität Stuttgart Eine Antwort auf diesen Beitrag verfassen (mit Zitat/Zitat des Beitrags) IP |
kwf14 Mitglied

 Beiträge: 10 Registriert: 27.03.2009
|
erstellt am: 27. Mrz. 2009 15:31 <-- editieren / zitieren --> Unities abgeben:         
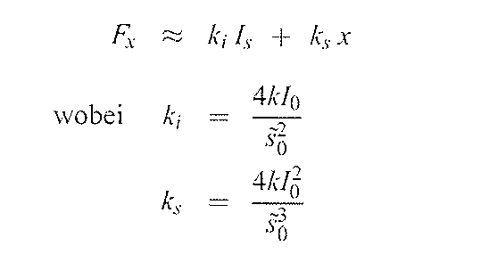
Klar, ich möchte auch die Randbedingungen nicht so lange anpassen bis das Ergebnis stimmt. Für die Berechnung der Kraft habe ich Ki-Ks-Formel verwendet. Bei der Ki-Ks-Methode geht man von einer Spule pro Pol. ( siehe Anhang ) [IMG][/IMG] [IMG][/IMG] Bei diesem Aufbau fließt der Gesamtstrom durch die Spule. In meinem Modell sind die Spulen quasi Parallel geschaltet. Jede Spule wird mit halber Stromstärke bestromt (6A). Das was du gesagt hast habe ich auch die ganze Zeit vermutet. Aber ich wusste nicht wie ich das beschreiben soll. Ich danke dir recht herzlich. Schöne Grüße Kaveh [Diese Nachricht wurde von kwf14 am 27. Mrz. 2009 editiert.] Eine Antwort auf diesen Beitrag verfassen (mit Zitat/Zitat des Beitrags) IP |